Staršie byty prekvapili. Najsilnejší dopyt je v dvoch metropolách, hlási Národná banka
Zhruba pred mesiacom portál Nehnuteľnosti.sk konštatoval, že zdražovanie realít sa na začiatku roka spomalilo. Aj keď priemerné ceny nehnuteľností sú stále na vzostupe, rast už nebol taký dynamický, ako tomu bolo počas vlaňajška.
V utorok si vývoj v prvom štvrťroku 2025 vzala na mušku Národná banka Slovenska, podľa ktorej v tomto období ceny bývania poskočili oproti predchádzajúcemu kvartálu o rovné štyri percentá. "K najvýraznejšiemu zdražovaniu prišlo medzi decembrom a januárom a týkalo sa predovšetkým starších bytov," konštatuje regulátor.
Cenovky domov a bytov meniace sa smerom nahor sledujeme pritom od začiatku minulého roka. A s pribúdajúcimi mesiacmi analytici o zmene trendu ani neuvažovali, práve naopak. Až na nepatrné výnimky draželi nehnuteľnosti naprieč celým Slovenskom. Aktuálne tempo rastu síce spomaľuje, ale krivka na grafe vývoja priemernej ceny hovorí jasne.
Vývoj priemernej ceny bývania (medziročná a medzištvrťročná zmena v percentách)

Zimné mesiace priniesli spomalenie rastu cien bytov
Počas prvých troch mesiacov vo väčšine slovenských miest a mestských častí vládli podľa štatistík Nehnuteľnosti.sk zelené čísla. "Výraznejší nárast podľa Trhových reportov portálu zaznamenal Prešov, Trnava a Bratislava II," vyplýva zo štatistík.
Situáciu na trhu hodnotili ako stabilnú, kupujúci aj predávajúci mali veľmi podobné preferencie. Znamená to, že žiadne veľké výkyvy cien sa nekonali, viditeľný bol len mierny nárast. To, čo dianie významnejšie ovplyvnilo, bol zvýšený predaj novostavieb ku koncu minulého roka, keď sa viacerí záujemcovia rozhodli využiť poslednú príležitosť a kúpiť novú nehnuteľnosť s nižšou DPH, a teda aj s celkovou nižšou cenou.
Výraznejšie zdražovanie zaznamenal Prešov
Celoslovenský trend však neurčoval zmeny v jednotlivých krajských mestách, tie záviseli skôr od lokálnej aktuálnej ponuky. V Prešove ceny dvojizbových a trojizbových bytov vzrástli o viac ako osem percent. „Tu sú jedným z hlavných dôvodov ohlásené investície do priemyslu a logistiky v posledných mesiacoch,“ vysvetľuje Michal Pružinský, Head of Sales portálu Nehnuteľnosti.sk.
Vznik stoviek nových pracovných miest podľa neho dokáže oživiť aj trh s nehnuteľnosťami a podobný scenár sa udial nedávno v Košiciach, keď ohlásili výstavbu novej automobilky Volvo.
Takmer o desatinu poskočili ceny v Bratislave II a Trnava si pripísala 7,53 percenta. "Na začiatku roka 2025 prekvapila korekcia cien v bratislavskom Starom Meste, kde ceny trojizbových bytov po dlhodobom raste poklesli o 3,1 percenta," vyplýva zo štatistík. Ešte vyšší pokles väčších bytov zaznamenala Žilina (-3,47 percenta).
„Aj keď ceny v hlavnom meste patria dlhodobo k tým najvyšším, aj tu vyzerá, že nastala určitá saturácia trhu. V spojení s predajom drahších novostavieb ku koncu roka to viedlo k miernemu poklesu,“ dopĺňa Michal Pružinský.
Predikuje, že vzhľadom na množstvo nových bytov, ktoré sa v metropole stavajú, sa očakáva v ďalšom období opäť rastový trend.
Realitný trh potiahli bratislavské byty
Národná banka v utorok potvrdila, že ceny bytov sa už nachádzajú na vyššej úrovni ako v roku 2022. "Regionálnemu pohľadu dominuje rast cien v Bratislave a Košiciach. V Nitrianskom a Žilinskom kraji evidujeme mierny pokles," dodáva regulátor s dôvetkom, že objem ponuky narástol prvýkrát po troch štvrťrokoch poklesu, pričom pribúdali najmä domy.
Medziročné zdraženie zaevidovali v dvojciferných číslach – ponukové ceny sa vyšplhali na 1,4 percenta. Čiastočne je to podľa analytikov dané aj tým, že v prvom štvrťroku vlaňajška ešte ceny klesali. "Priemerná cena nehnuteľností na bývanie vzrástla o 104 eur za štvorcový meter, čo jej umožnilo dosiahnuť úroveň 2 700 eur za štvorec," vyčísľuje analytik Národnej banky Slovenska Roman Vrbovský.
Dodáva, že hlavný podiel na cenovom raste v úvode roka pripadol na Bratislavský kraj.
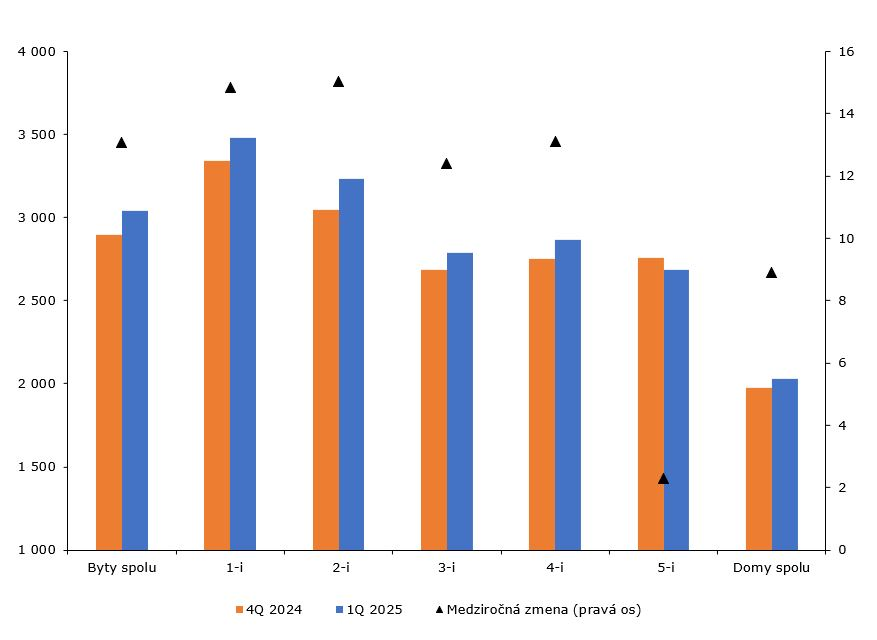
Priemerná cena bytov podľa meraní na začiatku roka lámala rekordy. Dostala sa na historické maximum 3 041 eur za štvorcový meter. Oproti predchádzajúcemu štvrťroku tak vzrástla o päť percent a až o 13,1 percenta medziročne. Kupujúci si tak museli za štvorcový meter priplatiť 145 eur, pričom najviac si pripísali dvojky.
U domov sa priemerná cena zvýšila o 53 eur na štvorec, čo zodpovedá medzištvrťročnému nárastu o 2,7 percenta. Štvorcový meter domu dosiahol 2 031 eur.
Vývoj priemernej ceny bytov a domov (úroveň v eur/m2, medziročná zmena v percentách)

Pozitívnou správou je, že počas prvých troch mesiacov sa ponuka nehnuteľností podľa centrálnej banky zvýšila. "Ide o prvý nárast objemu inzerátov po troch štvrťrokoch poklesu. Do ponuky vo výraznejšej miere pribúdali rodinné domy a ich podiel je tak najvyšší za posledné roky," konštatuje Vrbovský.
Okrem toho sa v tomto období zmenšil percentuálny rozdiel medzi cenami novostavieb a starších nehnuteľností. "So začiatkom roka 2025 bol spojený rast inflačných očakávaní – či už na strane spotrebiteľov, alebo aj firiem v sektore stavebníctva. Z dôvodu zvyšovania DPH sme preto očakávali predovšetkým efekt do cien novostavieb, dáta však ukazujú iný vývoj," dodáva analytik.
Na porovnanie, ceny nových bytov v našej databáze vzrástli o 3,4 percenta, zatiaľ čo staršie byty prekvapujúco zdraželi až o šesť percent. Kupujúci v Bratislavskom aj Košickom kraji mohli opäť sledovať najvýraznejšie zdraženie, a to nad piatimi percentami.
Celkový rast cien tak potiahli byty v západnej aj východnej metropole. Drahšie však boli aj byty v ďalších mestách spomínaných krajov, a to v Senci, Pezinku alebo v Rožňave, Gelnici či Spišskej Novej Vsi.
Na rozdiel od vývoja na konci predchádzajúceho roka však v prvom štvrťroku ceny v Nitrianskom a Žilinskom kraji klesli, a to zhodne o jedno percento. V okolí Banskej Bystrice sa nezmenili.
Začiatok tohto roka bol poznačený aj technickými problémami v súvislosti s nečinnosťou katastra, ktoré pribrzdili poskytovanie nových hypoték. "Dôsledkom je roztvorenie nožníc medzi mesačným vývojom úverov a cien nehnuteľností," uzatvára Vrbovský s tým, že údaje o objeme podpísaných zmlúv a ponukových cenách naznačujú, že dopyt na realitnom trhu zostáva silný.